SS-V: 9002 Wave Propagation in Loaded Waveguide

Test No. VE03Propagation of the fundamental mode wave in a loaded waveguide

Definition

Figure 1.


Figure 2.


The details of the model are:
  • Figure 1: a1 = 5mm, a2 = 15mm, a = a1 + a2, b = 10 mm, L = 100 mm, L1 = L2 = 20 mm
  • All side walls are at the PEC (Perfect Electric Conductor) conditions, and end faces are waveguide ports
The material properties are:
Properties
Value
Dielectric relative permittivity ( ε r )
4.0
Dielectric relative permeability ( μ r )
1.0
Air relative permeability ( ε r )
1.0
Air relative permeability ( μ r )
1.0

Reference Solution

Figure 3. Cross section of the waveguide


In both the dielectric and the air, the wave is propagating with the same wave number and common factor is e x p - j β z , where β is the longitudinal wave number. We are looking for the TEm0 modes (the one with m = 1 is the fundamental mode), which means that there is no dependence on y1.

Equations for longitudinal magnetic field become:

2 x 2 + k D 2 H z = 0     for     0 x a 1
2 x 2 + k A 2 H z = 0     for     a 1 x a
Where,
k A 2 =   k 0 2 - β 2
and
k D 2 =   ε r k 0 2 - β 2

Depending on the combination of the model parameters both k A 2 and k D 2 are positive or k D 2 is positive and k A 2 is negative.

In the first case the value of β is obtained from the solution of the following equation:

k A tan k D a 1 + k D tan k A a 2 = 0

This is after substituting k A 2 and k D 2 from their definitions1.

In the case of the negative value of k A 2 in a similar way the value of β is obtained from the solution of the equation (this case is complementary to the one in Pozar1):

k A tan k D a 1 + k D tan h k A a 2 = 0
Where,
k A 2 = -   k A 2 = - k 0 2 + β 2
and it is positive.

In the first case the electric field distribution is:
Figure 4.


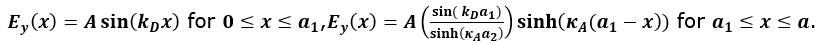
In the second case the electric field distribution is:
Figure 5.


Results

In the case of f = 7 . 5 GHz   k A 2 > 0 and equation (1) is in effect, while at the f = 10 GHz   k A 2 < 0 and equation (2) should be used.
Figure 6. Electric field E y Z R e distribution at f = 7.5GHz with Waveguide Port 1 active


Figure 7. Comparison of theoretical and modeled electric field distribution along the line in above figure


Figure 8. Electric field E y Z R e distribution at f = 10GHz with Waveguide Port 1 active


Figure 9. Comparison of theoretical and modeled electric field distribution along the line in above figure


The above formulas for the field distribution are illustrated in the following graph (x is orthogonal to the direction of the wave propagation here and the sampling line goes through the maximum of the field distribution):
Figure 10. Comparison of theoretical and modeled electric field distribution for fundamental mode at different frequencies


1 Pozar, D.M., Microwave Engineering, 4th Edition, John Wiley & Sons, Inc., 2012, p.119.