SS-V: 9003 Resonator with Two Materials

Test No. VE04Analysis of modes in resonator with two materials

Definition

Figure 1.


The details of the model are:
  • Figure 1: a1 = 5mm, a2 = 15mm, a = a1 + a2, b = 10 mm, L = 100 mm
  • All walls are under PEC (Perfect Electric Conductor) conditions
The material properties are:
Properties
Value
Dielectric relative permittivity ( ε r )
4.0
Dielectric relative permeability ( μ r )
1.0
Air relative permeability ( ε r )
1.0
Air relative permeability ( μ r )
1.0

Reference Solution

Figure 2. Cross section of the resonator


We are looking for the T E 10 l modes (the one with l=1 is the fundamental mode), which means that there is no dependence on y1.

Equations for longitudinal magnetic field become:

2 x 2 + k D 2 H z = 0     for     0 x a 1
2 x 2 + k A 2 H z = 0     for     a 1 x a
Where,
k A 2 =   k 0 2 - πl L 2
and
k D 2 =   ε r k 0 2 - πl L 2

Depending on the combination of the model parameters both k A 2 and k D 2 are positive or k D 2 is positive and k A 2 is negative.

In the first case the value of k 0 is obtained from the solution of the following equation:

k A tan k D a 1 + k D tan k A a 2 = 0

This is after substituting k A 2 and k D 2 from their definitions above1.

In the case of the negative value of k A 2 in a similar way the value of β is obtained from the solution of the equation (this case is complementary to the one in Pozar1):

k A tan k D a 1 + k D tan h k A a 2 = 0
Where,
k A 2 = -   k A 2 = - k 0 2 + πl L 2
and it is positive.

The roots of those transcendental equations can be found numerically or graphically depending on required accuracy.

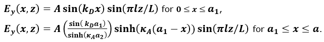
In the first case the electric field distribution is:
Figure 3.


In the second case the electric field distribution is:
Figure 4.


Results

Comparison of the theoretical resonant frequencies for the T E 10 l modes with those obtained in the modeling is presented in the picture below.
Figure 5. Comparison of theoretical and model resonant frequencies


The z dependence of the field is simple and was followed in the solution with high accuracy. It is interesting to check, how accurate is the x dependence reproduced in the model. Electric field magnitude was output at fixed z corresponding to one of its maximums and normalized to that maximum. Below, this is illustrated for the case of l=3.
Figure 6. Electric field magnitude E X , Z distribution for the T E 103 mode


As it is described above for some values of l the solution on both sides of the boundary is described by the sin function, for other values (in our case – starting from l=7) the sin function in the area with air switches to the hyperbolic sin. This can be observed in the figure below.
Figure 7. Mode shapes for the first 10 T E 10 l modes.


Figure 8. Match between theoretical and observed mode shapes for the first 10 T E 10 l modes




















First 6 modes are of the T E 10 l type. Field distribution for the mode T E 106 is shown below.
Figure 9. Electric field magnitude for the T E 106 mode


The higher modes with the electric field that is not uniform in y direction are a mixture of the TE and TM waves.
Figure 10. Electric field magnitude for the mode number 12


If the field is uniform in y direction, the modes still can be classified in terms of TE, TM waves.
Figure 11. E y distribution in the T E 202 mode


1 Pozar, D.M., Microwave Engineering, 4th Edition, John Wiley & Sons, Inc., 2012, p.308.