Mechanics
The definition of mechanical loss computation model is available only for some tests.
Figure 1. User inputs for defining the mechanical losses


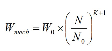
Mechanical loss model is considered as:

The following input parameters are needed:
- “Ref. speed” (Reference speed) – N0
- “Losses at ref. speed” (mechanical losses at reference speed) – W0
- “Exponent” (Speed exponent) - k
- Current speed “N” for which the mechanical losses “Wmech” must be computed