sgcm
Returns a vector with four values: combined metric, SG combined metric, magnitude, and phase difference.
Syntax
sgcm(xvect, yvect_1, yvect_2, debug)
Argument
- xvect
- X vector of the data to be analyzed.
- yvect_1
- First Y vector of the data to be analyzed.
- yvect_2
- Second Y vector of the data to be analyzed.
- debug
- Flag to turn on the debug mode (optional argument).
- 0
- Off (default).
- 1
- Prints the debug information into the message log.
- 2
- Prints the debug information to debug.csv in the current working directory.
Example
retvec = sgcm (p1w1c1.x,p1w1c1.y, p1w1c2.y)
C = retvec[0]
SG = retvec[1]
mag = retvec[2]
phase = retvec[3]
Comments
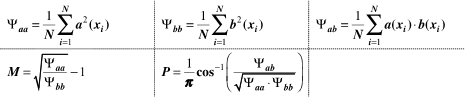
- Calculate the metric M for magnitude difference and P for phase difference
as follows:
(1) 
- Calculate the combined metric C as follows:
(2) C=1 is a perfect match, C=0 is not a match.
is
known as the Sprague-Geers Combined Metric.The sgcm function returns a value of C.