irfilter
Impulse response filter function.
Syntax
irfilter(dep_vec, FIR_coeffs, [,IIR_coeffs])
Argument
- dep_vec
- An input vector.
- FIR_coeffs
- A vector indicating the Finite Impulse Response filter coefficients.
- [,IIR_coeffs]
- An optional parameter, a vector, that specifies the Infinite Impulse Response filter coefficients.
Example
| Curve Math Vectors | Result |
|---|---|
x = c1.x
|
Given c1, a curve is created which is the original curve filtered using the filter specified by the coefficients. |
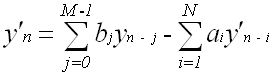
Comments

where:
ai is the ith value of the IIR coefficients
bi is the ith value of the FIR coefficients
N is the number of IIR coefficients
M is the number of FIR coefficients
a0 is assumed to equal 1 and is omitted from the IIR coefficient vector.