2D example: computation of Laplace's electromagnetic force

Introduction

This section depicts the computation of the mean and pulsating components of Laplace's force in 2D.

Definition: reminder

The Laplace's electromagnetic force is the force exerted on a conducting conductor placed in a magnetic field.

Mathematical expression

The force exerted on a conductor can be computed using Laplace's law:

where:

  • is the magnetic flux density in which the conductor is placed
  • is the current density in the conductor

Expression of the mean and pulsating components of Laplace's force

The magnetic flux density and the current density in a point are expressed in the following way:

  • Magnetic flux density is written:

That is the parametric equation of an ellipse (see the figure beside)

  • the current density is written:

Thus , the expression of the Laplace's force in a point is:

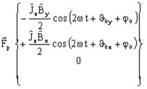
Expression of the mean and pulsating components (continued)

Hence, the Laplace's force is constituted by:

  • a mean component :

  • a pulsating component :

Elliptical representation

The force can be spatially represented as that in the figure below.

  • The mean component is defined by:
    • its modulus and its orientation with respect to the Ox axis( α angle)
  • The pulsating component described by an ellipse of pulsation:
    • major axis: a
    • minor axis: b
    • orientation of the ellipse with respect to the Ox (β angle)