Feedback Traction Controller - PID Controller

A Proportional-Integral-Derivative (PID) controller is a feedback controller that computes a vehicle input using the error, the integral of error, and the rate of change of error between a desired vehicle response and the actual vehicle response.

To use a PID control you enter proportional (KP), integral (KI), and derivative (KD) gains, the type of desired response (for example, longitudinal speed or acceleration), and reference the desired response (for example, a table of speed vs time). The Altair Driver then applies the Proportional-Integral-Derivative (PID) control law to calculate the throttle and brake signals.

Algorithm

Parameters
Demand Signal U
Feedback or response signal X
Error e
Proportional gain Proportional gain
Derivative gain Derivative gain
Integral gain Integral gain
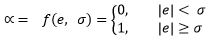
Integral control flag Integral control flag
Integral band Integral band
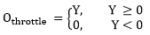
Driver throttle output O throttle
Driver brake output O brake
Drive Ratio
Gear Ratio

Types

  • VELOCITY CONTROL - Demand signal is a velocity profile with time or distance traveled as independent variable.
  • ACCELERATION CONTROL - Demand signal is an acceleration profile with time or distance traveled as independent variable.
  • Demand signal can be constant, expression driver, user defined curve, or MotionView Signal (similar to Open Loop controller).
[LONG_PID_CONTROLLER]
TAG = 'PID'
TYPE = 'FOLLOW_VELOCITY'
DEMAND_SIGNAL = 'DEMAND_SPEED'
I_ACTIVE_BAND = 2
KP 	 			= 100
KD 				= 20
KI 				= 10
INITIAL_ERROR 		= -5
[FEEDFORWARD LONGITUDINAL CONTROLLER]
TAG Attr - string REQUIRED

<PID >

  Attr - string OPTIONAL
  • By default assumes FOLLOW_VELOCITY.
  • Options:
    • FOLLOW_VELOCITY
    • FOLLOW_ACCELERATION
DEMAND_SIGNAL Attr - string REQUIRED

Block name that contains the demand signal. See the Demand Signal Block topic to learn more about all of the available methods.

I_ACTIVE_BAND Attr - real OPTIONAL
  • Band in which integral control is activate.
If absent:
  • Integral gain is always active. May lead to overcompensation.
KP Attr - real OPTIONAL
  • Proportional gain
If absent:
  • KP = 0
KD Attr - real OPTIONAL
  • Differential gain
If absent:
  • KD = 0
KI Attr - real OPTIONAL
  • Integral gain
If absent:
  • KI = 0
INITIAL_ERROR Attr-real OPTIONAL
  • Integral error
If absent:
  • INITIAL_ERROR = 0