ALE or Arbitrary Lagrangian Eulerian formulation is used to model the interaction between fluids and solids; in particular,
the fluid loading on structures. It can also be used to model fluid-like behavior, as seen in plastic deformation of materials.
Smooth Particle Hydrodynamics (SPH) is a meshless numerical method based on interpolation theory. It allows any function
to be expressed in terms of its values at a set of disordered point's so-called particles.
ALE or Arbitrary Lagrangian Eulerian formulation is used to model the interaction between fluids and solids; in particular,
the fluid loading on structures. It can also be used to model fluid-like behavior, as seen in plastic deformation of materials.
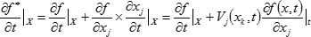
At any location in space x and time t, there is one material point, identified by its space
coordinates x at time t=0, and one grid point identified by its coordinates
at time t=0. Figure 1 provides a pictorial representation
and defines the velocities in each formulation. Figure 1. ALE Formulation
The derivative of any physical quantity can be computed either following the material point or
following the grid point. They can then be related to each other.
Given that is a function f of space and time representing a physical
property: