OptiStruct is a proven, modern structural solver with comprehensive, accurate and scalable solutions for linear and nonlinear
analyses across statics and dynamics, vibrations, acoustics, fatigue, heat transfer, and multiphysics disciplines.
The OptiStruct Example Guide is a collection of solved examples for various solution sequences and optimization types and provides
you with examples of the real-world applications and capabilities of OptiStruct.
Demonstrates the use of Pre-loading with Normal Mode Analysis. The Pre-Loaded analysis is a type of structural analysis
performed on a structure under prior loading (Pre-Loading).
This section presents optimized topology examples generated using OptiStruct. Each example uses a problem description, execution procedures, and results to demonstrate how OptiStruct is used as a design concept tool.
This section presents size (parameter) optimization examples solved using OptiStruct. Each example uses a problem description, execution procedures, and results to demonstrate how OptiStruct is used in size optimization.
This section presents shape optimization example problems, solved using OptiStruct. Each example uses a problem description, execution procedures and results to demonstrate how OptiStruct is used in shape optimization.
The examples in this section demonstrate how topography optimization generates both bead reinforcements in stamped
plate structures and rib reinforcements for solid structures.
The examples in this section demonstrate how the Equivalent Static Load Method (ESLM) can be used for the optimization
of flexible bodies in multibody systems.
The OptiStruct Example Guide is a collection of solved examples for various solution sequences and optimization types and provides
you with examples of the real-world applications and capabilities of OptiStruct.
Demonstrates the use of Pre-loading with Normal Mode Analysis. The Pre-Loaded analysis is a type of structural analysis
performed on a structure under prior loading (Pre-Loading).
Demonstrates the use of Pre-loading with Normal Mode Analysis. The
Pre-Loaded analysis is a type of structural analysis performed on a structure under prior
loading (Pre-Loading).
The response of a structure is affected by its initial state and this is in turn affected
by the various preloading applied to the structure, prior to the analysis of interest. Here,
do a comparison study the normal model analysis, with and without pre-load effect using a
chair frame. Figure 1. FE-Model
Model Description
This example of the chair frame is solved for Pretension in the first subcase and then
followed by a Modal Analysis (with pre-loading).
FE Model
Element Types
CTETRA
CBEAM
CQUAD
RBE2
The linear material properties are:
MAT1
Young’s Modulus
2.1E5 MPA
Poisson's Ratio
0.3
Initial Density
7.85E-9 Mg/mm3
Results
In Figure 2, the displacement plot from the first subcase (Pretension) and also the
Eigen mode from the second subcase (Modal). Figure 2. Displacement Contour and Eigen Mode Plot
Figure 3. Six Mode Shapes Contour
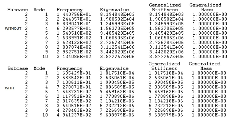
Figure 4 shows the comparison of the Frequencies from the Normal Model Analysis,
with and without pre-load effect. Figure 4. Comparison of the Frequencies