Backward-facing Step in 2D

Problem Description

The backward-facing step in a streamwise periodic channel as shown in Figure 1 is based on the geometry given by Issa. 2 The step height is S = 4.9 mm. A constant bulk velocity UB = 0.14 m/s is forced by a constant volume force chosen as F = 0.4 m/s2. The dynamic viscosity of the fluid is 1.456e-5 kg/m/s, with a density of 1 kg/m3. With the hydraulic diameter D = 2*H1 of the channel above the step the Reynolds-Number of the flow is Re = 100.


Figure 1. Sketch of the Backward-Facing Step from Adami et al (lengths in mm). See 3

Numerical Setup

Two particle resolutions are simulated, with a cutoff length r=°0.2*S for the coarser and r=°0.1*S for the finer resolution. For the initial particle configuration, the particles are distributed on a Cartesian grid. The walls boundary conditions are imposed according to the methodology described by Adami et al. 1

Results

In Figure 2 the flow in the recirculation region behind the step is visualized with emphasis on the recirculation bubble.


Figure 2. Visualization of the Flow Behind the Step for the Fine Resolution at Steady-State
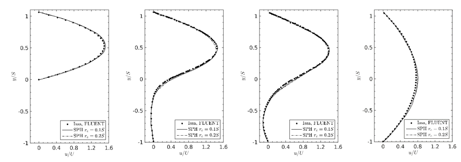
The velocity profiles at the positions P1 to P4 (see Figure 1) are shown in Figure 3. Both simulations show very good agreement with the reference profiles by Issa. 2


Figure 3. Velocity Profiles at the Reference Positions P1 to P4 (from left to right)

1 S. Adami, H. Hu and N. Adams, "A generalized wall boundary condition for smoothed particle hydrodynamics," Journal of Computational Physics, vol. 231, pp. 7057-7075, 2012.
2 R. Issa, Numerical assessment of smoothed particle hydrodynamics gridless method for incompressible flows and its extension to turbulent flows, PhD Thesis: University of Manchester, 2005.
3 S. Adami, X. Hu and N. Adams, "A transport-velocity formulation for smoothed particle hydrodynamics," Journal of Computational Physics, vol. 241, pp. 292-307, 2013.