SET_GSE_ALGEBRAIC_EQN
The SET_GSE_ ALGEBRAIC_EQN subroutine is used with GSESUB to specify the implicit, algebraic equation.
Use
Setup utility subroutine for GSE.
Format
- Fortran Calling Syntax
- SET_GSE_ALGEBRAIC_EQN (gse_id, eqn_idx, errflag)
- C/C++ Calling Syntax
- c_set_gse_algebraic_eqn (gse_id, eqn_idx, errflag);
- Python Calling Syntax
- py_set_gse_algebraic_eqn(gse_id, eqn_idx, errflag)
Attributes
- gse_id
- [integer]
- eqn_idx
- [integer]
Output
- errflag
- [integer]
Comments
- All indices are 1-based. That is, the index starts from 1, not 0.
- SET_GSE_ALGEBRAIC_EQN should only be called when iflag=1.
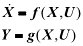
- In most cases, GSE are in the following form:
(1) 
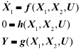
However, in some cases, the state equations may involve both differential and algebraic equations. For example:(2) 
When this occurs, it is necessary to tell MotionSolve the equation indices of the algebraic equations associated with the algebraic state X2, using SET_GSE_ ALGEBRAIC_EQN. For example, call: SET_GSE_ALGEBRAIC_EQN (gse_id, 2, errflag)
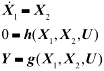
- A common use case for SET_GSE_
ALGEBRAIC_EQN is to convert the implicit form of state equations:
(3) 
into the explicit form that can be solved in MotionSolve. For example, define:(4) 
The implicit form can be converted to the following differential algebraic equations:(5) 
This is in the same DAE form shown in the previous remark.