Modify a Response Variable
- At Reference Signal Value
- At Time
- For a given expression, captures the value of the expression at a given time.
- Generic
- Calculate a response value using any generic solver expression.
- MaxVal
- For a given expression, captures the maximum value of the expression.
- MinVal
- For a given expression, captures the minimum value of the expression.
- Response Expression
- Derive a response using a mathematic expression involving other responses and design variables.
- Root Mean Square Deviation
- Calculates the RMS value between given expression and a target curve.
- Slope
- Calculates the slope of the curve derived from two expressions at a particular instance of time.
- Slope Deviation
- Calculates the deviation of the slope of the curve derived from two expressions at a particular instance of time, w.r.t a target value.
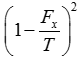
- To make a system parameter attain a specific value, you can use a
Generic type of RV. For example, to allow
an expression: Fx (displacement of mass held by a spring) to reach a
target value: T (10mm), use a Generic type of RV with its
Response Expression defined as shown
below:Response Expression =

Figure 2. Thus, as the value of Fx approaches T, the value of this response is minimized.
- To match a specific system behavior to a desired input curve, you
can use a Root Mean Square Deviation type of
RV. This computes RMS deviation between the desired and actual
curves.
Figure 3. Thus, having an objective to minimize this response, will help attain the desired behavior.