- Steer Control Algorithm
-
The feedforward algorithm is based on the curvature of the demand path and
the predicted lateral error of the vehicle after look ahead time.
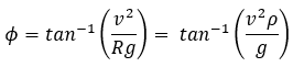
The relationship between lean angle and the curvature of the demand path can
be established by balancing the lateral acceleration and gravity acting at the
center of gravity.
Solving for equilibrium, we get:
where,
is longitudinal velocity of the vehicle and
is the curvature of the path.
Curvature of the path is estimated as given in the Curvature Estimation
section.
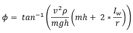
Accounting for gyroscopic forces at the center of the wheel, the relationship
is given as below.
– mass of the vehicle
– longitudinal velocity of the vehicle
– Inertia of the wheel
– Radius of the wheel
– Height of center of gravity of the vehicle
– Curvature of the path
- Curvature Estimation
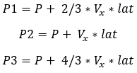
- The demand curvature is estimated using three points on the demand path. These
three points are spaced using the parameter look ahead time
(lat).
The points P1, P2 and P3 on the path are
calculated as:
Where
is the current position of the vehicle along the
reference path and
is look ahead time.
To estimate the curvature using these three points, the tangent vector at
these three points (T1, T2 and T3) are found using the path interpolated using
quintic spline utility from MotionSolve.
The
angle between the tangents is found as:
The curvature is estimated as:
- Lateral Error Prediction
- Lateral error is calculated using desired and predicted position of the
vehicle after look ahead time.
To predict the vehicle position after look
ahead time, kinematic bicycle model equations are used.
For details on
kinematic model, please see the Kinematic bicycle model section.
To
compute the predicted path, the equations of motion are integrated for
look-ahead times. The path is obtained by spline interpolation using the
spline utility in MotionSolve.
The
difference between the predicted path and desired path at look ahead time is
the error.
- Handling Demand Path with Discontinuous Curvature
-
Some examples for paths with discontinuous curvatures are:
- 90 degrees left/right turn
- Straight line merging to a curved path with constant radii
- Single lane change / Double lane change
The demand lean for the path following control should be continuous in nature
to ensure smooth behavior of the control algorithm. As observed in real life
as well, smooth cornering is observed when two-wheeler is leaned gradually
from one state to another in a continuous fashion.
Since demand lean is directly proportional to the curvature of the path, it
is required that the path followed by the driver has continuous curvature, in
other words, the second derivative of the path curve should be continuous in
nature at each point on the path.
To fulfil this requirement for every path provided by the user, the path
curve is sampled at a fixed distance covering the whole path. A quintic (Fifth
order) curve is fitted with the sampled points using MotionSolve QUINTIC curve utility. Due to the nature of
the curve, the resultant curve has continuous curvature along the whole path.
This resultant smooth path is provided to Altair Driver as the new Demand
path.
The sampling distance for the path can be set in ADF. The default value for
the parameter is 10 m.