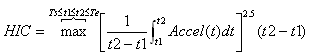
hic
The Head Injury Criterion commonly used to measure potential for head injury.
Syntax
hic(vector1, vector2, scalar1, [scalar2], [scalar3], [specification])
Arguments
- vector1
- The time vector of data to analyze (second).
- vector2
- The head acceleration vector (g).
- scalar1
- Window in milliseconds (usually 36ms for head).
- scalar2
- Return vector type (optional):
- scalar3hic
- Flag to turn on the debug mode (prints to Message Log). Optional argument (default = off).
- specification
- 1 - JNCAP specification (default).
Example
hic(p1w1c1.x, p1w1c1.y, 36)
Comments
