Radioss Interface
Overview of the Radioss interface.
Engineering Solutions provides a complete pre-processing environment for preparing Radioss data decks for analysis.
Engineering Solutions can read existing Radioss decks, create a model, display and edit Radioss cards as they will look in the deck, and write a deck for analysis.
To create Radioss decks in Engineering Solutions, you must load the Radioss user profile with the appropriate template to access the full pre-processing capability.
Import and Export
- Engineering Solutions supports Radioss solver versions for import and export till Radioss 2021.
- Solver specific import options are available in the Solver Options tab.
- Engineering Solutions supports Radioss Dummy models.
- Most IDs in the solver deck are preserved in Engineering Solutions. If a keyword is not supported in a dedicated Engineering Solutions entity to ensure its unique ID-Pool, then Engineering Solutions renumbers those keywords when ID conflicts are detected. The new IDs are posted during the import process.
- The Radioss interface supports a smart, reliable FE input reader that warns you when your input deck contains unsupported fields and unsupported data lines.
- Engineering Solutions supports undefined entities. These are entity IDs which are referenced in keywords (for example a Material ID in a *PART) but not defined in the deck. In this case, Engineering Solutions creates a default card (for example a material of type elastic is then created) in order to preserve the ID. This keyword has the Defined checkbox toggled off and is automatically not exported.
Duplicate ID’s
- Several Radioss keywords are mapped to one Engineering Solutions entity in some instances. By default, the Radioss interface does not allow duplicate IDs within the same Engineering Solutions entity, with the exception of elements. Radioss does allow duplicate IDs across cards mapped to one Engineering Solutions entity. In Engineering Solutions, ID flexibility similar to Radioss can be enabled by selecting and activating the allow duplicate IDs option.
- Duplicate IDs are supported for the following Engineering Solutions entities in the Radioss user profile: elements, properties, entity sets, and sensors.
Rigid Body Management
Any RBODY created with less than 10000 secondary nodes is shown with the spider connecting the main node to the secondary nodes. If the RBODY has more than 10000 secondary nodes, then it is shown with a single link connecting the main node to one of the secondary node. All other options are similar for both.
Mass Calculation
Elemental Time Step Calculations
Time Step Calculations.
Critical Time Step for Shell (2D) Elements

Figure 1.

Figure 2.
Where E is Young's modulus and ρ is Material density.
Critical Time Step for Solid (3D) Elements


Figure 4.

Figure 5.
Where, E is Young’s modulus, ρ is Material density, 𝜐 is Poisson’s ratio, K is Bulk Modulus, G is Shear Modulus.
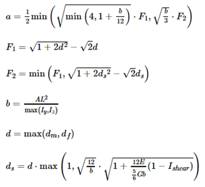
Critical Time Step for Beam (1D) Elements

Figure 6.


Figure 8.
Critical Time Step for Spring/Discrete Elements

Figure 9.