Stdev
The Standard Deviation of the selection.
The Standard Deviation is a measure of how spread-out numbers are in a set. The Deviation just means how far from the normal.
Stdev is used when the group of numbers being evaluated is only a partial sampling of the whole population.
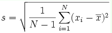
The formula:

Where
is the mean computed by getting the sum of all the items and dividing them by the number of items minus one.
Sample 1
Given a set of numbers like 12, 6, 12.
- Compute the mean of the sample.
Mean = (Sum of items/n), where n is the number of items
12+6+12/3=10 - Square the difference between each point and the mean
(12-10)^2 =4
(6-10)^2 =16
(12-10)^2 =4 - Calculate the average of the results in step 2 above
4+16+4/3-1=24/2
- Compute the square root of the result in step 4.
√12 or 3.4641
Sample 2
Given the following sample fields:
| Number | Arbitrary | Negative Values | Positive Values | One | Binary | Currency | Decimal |
| 1 | 3 | -1 | 1 | 1 | 0 | $1.00 | 1.01 |
| 2 | 2 | -2 | 2 | 1 | $10.00 | 2.02 | |
| 3 | 1 | -3 | 3 | 0 | $100.00 | 3.03 | |
| 4 | 0 | -4 | 4 | 1 | $1,000.00 | 4.04 | |
| 5 | -1 | -5 | 5 | 0 | $10,000.00 | 5.05 | |
| 6 | -2 | -6 | 6 | 1 | -$1.00 | 6.06 | |
| 7 | -3 | -7 | 7 | 0 | -$10.00 | 7.07 | |
| 8 | 0 | -8 | 8 | -$100.00 | 8.08 | ||
| 9 | 0 | -9 | 9 | -$1,000.00 | 9.09 | ||
| 10 | 0 | -10 | 0 | $0.00 | 0.00 |
Sample fields
The Stdev for each field:
| Number | Arbitrary | Negative Values | Positive Values | One | Binary | Currency | Decimal |
| 3.0277 | 1.7638 | 3.0277 | 3.0277 | 0 | .5345 | $3,197.5720 | 3.0579 |
Results per field
(c) 2013-2024 Altair Engineering Inc. All Rights Reserved.