Defining Multi-Sphere Particles
Defining a Particle
Right-click Bulk Material and select Multi-Sphere Particle or click the
icon. This creates a new particle shape in the Creator Window.
You can create a Multi-Sphere particle from multiple spheres. In the image, each sphere is called sphere N where N is between 0 and the ‘number of spheres -1’.
You can modify the X, Y, and Z position of each sphere for the particle shape.
You can add, copy, or remove a sphere from the particle using the icons
,
,
, or the right-click menu.
Duplicating a sphere adds a new sphere in the list, and you can modify the radius and position.
You can copy and paste the sphere table from an external source. The table must match the format of the table in EDEM.
Select Contact Radius when the particle has a different interaction (contact) which is not on its physical surface, such as contact radius due to other (long-range) forces acting upon it or inter-particle bonds. This option should only be used with a relevant user-defined contact model. When two contact radii overlap, the contact force calculation is entered, and the physical radius of the spheres is used to calculate the magnitude of the physical contact force. However, you can apply user-defined forces when the contact radii overlap.
For multiple spheres, use the Position X, Y, and Z options to define their relative positions. Multi-Sphere particles should be centered on the origin along the principle axes to ensure that the moments of inertia are calculated correctly.
Copying a Particle
Select the particle and click Copy Particle
, this makes a copy of the particle, and associated spheres, with the name New Particle N.
Adding a Particle Shape from the Library
You can manually add or describe a particle. You can also select from a list of shapes using the Add Shape From Library option.

Modifying a Particle Shape
You can modify a particle shape by changing the values in the table.
You can set the radius, X, Y, Z position and sphere separation (in the X and Y axes) of each shape using the Adjust Settings option.
Select the particle and then select Modify Shape.
333
The Radius slide bar changes the radius (scale) of the shape while maintaining the same shape profile. Sphere Separation will change the surface separation (shape profile) by modifying the sphere positions in the X axis or Y axis.
Exporting a Particle Shape
Once a particle has been defined, you can export it for use in other EDEM simulations. Right-click the particle and click the
icon.
Save the file to your Particles folder (using Tools > Options > File Locations).
Files are exported in the .dem format.
Importing a Particle Shape
You can export any particle created in EDEM for use in other models. To import a particle, click the
icon and navigate to the selected file.
Only particles exported from EDEM simulations are imported.
Calculating Particle Properties
The particle mass, volume and inertia must be configured, either automatically by EDEM or manually.

Automatically Calculating Properties
- Select whether to calculate using the spheres that make up your particle, or (preferably) from an imported template.
- Check whether you want to automatically center the particle when calculating the moments of inertia. Unchecking this option may result in non-physical results.
- Click Calculate Properties to calculate the mass, volume, and moments of inertia for the current particle.
- If Auto Calculation is selected, then any changes to the defined Particle size or shape will automatically trigger the Calculate Properties tool.
Since random sampling is used to calculate particle properties, re-calculation for particles with multiple surfaces may result in slightly different values.
User Defined Properties
You can type values for each property into the relevant field. If a value is displayed in red, it is not recommended.
| Property | Description |
| Mass | Indicates mass of the particle. |
| Volume | Indicated volume of the particle measured. |
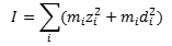
| Moment of Inertia X/Y/Z | The moment of inertia is a measure of a body's resistance to angular acceleration. A particle consists of a number of spheres, i, each with mass mi and radius ri. If each sphere is a distance di from a particular axis of rotation, then the moment of inertia of the particle about that axis is given by:![]() You can specify different values for the moment of inertia to take into account particles of varying material properties (such as hollow spheres). |
(c) 2023 Altair Engineering Inc. All Rights Reserved.
