Altair® Panopticon

 

Percentile

The selected percentile.

Percentile  is the value of the P-th percentile of an ascending ordered data set containing N elements with values .

There are two steps to compute for Percentile.

Steps:

1.     Calculate the rank:

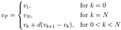
The rank is then split into its integer component k and decimal component d, such that ..

2.     Use the formula below to calculate  as:

 

Sample 1

Consider the ordered list of values 15, 20, 35, 40, 50. What is the 40th percentile of this list?

Steps:

1.     Calculate the rank of the 40th percentile as follows.

Thus, n=2.6, which gives us k=2 and d=0.6.

2.     Calculate the value of the 40th percentile.

Thus, the value of the 40th percentile of the ordered list 15, 20, 35, 40, 50 is 29.

 

Sample 2

Consider the ordered list 1,2,3,4. What is the 75th percentile of this list?

Steps:

1.     Calculate the rank of the 75th percentile as follows.

N = 75/100(4-1) + 1 = 3.25

Thus, n=3.25, which gives us k=3 and d=0.25.

2.     Calculate the value of the 75th percentile.

Thus, the value of the 75th percentile of the ordered list 1,2,3,4 is 3.25.

Sample 3

Given the following sample fields:

Number

Arbitrary

Negative Values

Positive Values

One

Binary

Currency

Decimal

1

3

-1

1

1

0

$1.00

1.01

2

2

-2

2

 

1

$10.00

2.02

3

1

-3

3

 

0

$100.00

3.03

4

0

-4

4

 

1

$1,000.00

4.04

5

-1

-5

5

 

0

$10,000.00

5.05

6

-2

-6

6

 

1

-$1.00

6.06

7

-3

-7

7

 

0

-$10.00

7.07

8

0

-8

8

 

 

-$100.00

8.08

9

0

-9

9

 

 

-$1,000.00

9.09

10

0

-10

0

 

 

$0.00

0.00

 

Sample fields.

The 50th Percentile value for each field in the table:

5.50

0.00

-5.50

4.50

1.00

0.00

0.50

4.55

5.50

0.00

-5.50

4.50

1.00

0.00

0.50

4.55

 

The results per field.